Borang Permohonan Cuti Bersalin : Anak saya lahir 5/5/2020 ,sekarang umur anak saya.

Borang Permohonan Cuti Bersalin : Anak saya lahir 5/5/2020 ,sekarang umur anak saya.. Membuat surat permohonan cuti, tentunya menjadi hal. Borang permohonan cuti bersalin (pekeliling perkhidmatan bilangan 5 tahun 2017) kepada: Borang perakuan bersalin dan permohonan cuti bagi pegawai wanita.pdf. Anak saya lahir 5/5/2020 ,sekarang umur anak saya. Permohonan cuti bersalin kerajaan 2021.

Permohonan cuti bersalin kerajaan 2021. (sila masukkan nama jawatan dan alamat ketua jabatan) 1. Saya memohon menggunakan kemudahan cuti bersalin selama. Borang permohonan cuti tanpa gaji urusan peribadi.doc. Perakuan bersalin/surat dijangka bersalin hendaklah dilampirkan.

Mrs Secretary Cuti Dah Lulus
Mrs Secretary Cuti Dah Lulus from 3.bp.blogspot.com
Butiran permohonan kemudahan cuti bersalin 8. Permohonan guru ganti oleh sekolah adalah tertakluk kepada kekosongan sementara guru tetap yang sedia ada di sekolah atas sebab cuti bersalin, cuti sakit, cuti rehat khas, cuti tanpa gaji, menghadiri kursus, bertugas kokurikulum & koakademik jpn, menunaikan haji / umrah dan. Penghantaran borang permohonan boleh dibuat melalui kaedah berikut saya dah antar borang ibu bersalin ke pejabat dearah saratok bulan april,agak nya bila kah duit ibu bersalin keluar? Borang permohonan cuti dan sokongan memangku (untuk pegawai dan kakitangan dalam jabatan kerajaan). Borang pekerja contoh bulanan (apcb). Permohonan cuti bersalin swasta 90 hari 2021 (borang)|anda ingin mohon cuti bersalin swasta 90 hari? Macam mana cara nak buat permohonan baru bpn 2.0 secara online? Download borang permohonan cuti bersalin.pdf.

Permohonan guru ganti oleh sekolah adalah tertakluk kepada kekosongan sementara guru tetap yang sedia ada di sekolah atas sebab cuti bersalin, cuti sakit, cuti rehat khas, cuti tanpa gaji, menghadiri kursus, bertugas kokurikulum & koakademik jpn, menunaikan haji / umrah dan.

Dulu saya terima bpn 1.0, tapi tak nak terima bpn 2.0 ini. Surat permohonan cuti bisa diajukan jika syarat untuk mendapatkan cuti sudah terpenuhi tentunya. Turutan kemudahan cuti bersalin yang dipohon (tandakan pada yang berkenaan). Insentif ibu bersalin (ibb) merupakan bantuan yang disediakan oleh kerajaan negeri sarawak khas 2. Human capital management telekom malaysia berhad borang permohonan cuti bersalin. Borang permohonan cuti bersalin (pekeliling perkhidmatan bilangan 5 tahun 2017) kepada: Kemasukan ke pusat latihan perindustrian & pemulihan bangi.full description. Permohonan cuti bersalin kerajaan 2021. Khas bagi pemohon tidak lulus 2020. Borang perakuan bersalin dan permohonan cuti bagi pegawai wanita.pdf. Bahagian i dan ii adalah benar. Seperti cuti bulanan, cuti tahunan, atau pun cuti hamil dan bersalin. Borang kemas kini ogos 2017.

Pekeliling cuti bersalin via www.slideshare.net. Cara hantar borang permohonan iib. Surat permohonan cuti bisa diajukan jika syarat untuk mendapatkan cuti sudah terpenuhi tentunya. Turutan kemudahan cuti bersalin yang dipohon (tandakan pada yang berkenaan). Borang pekerja contoh bulanan (apcb).

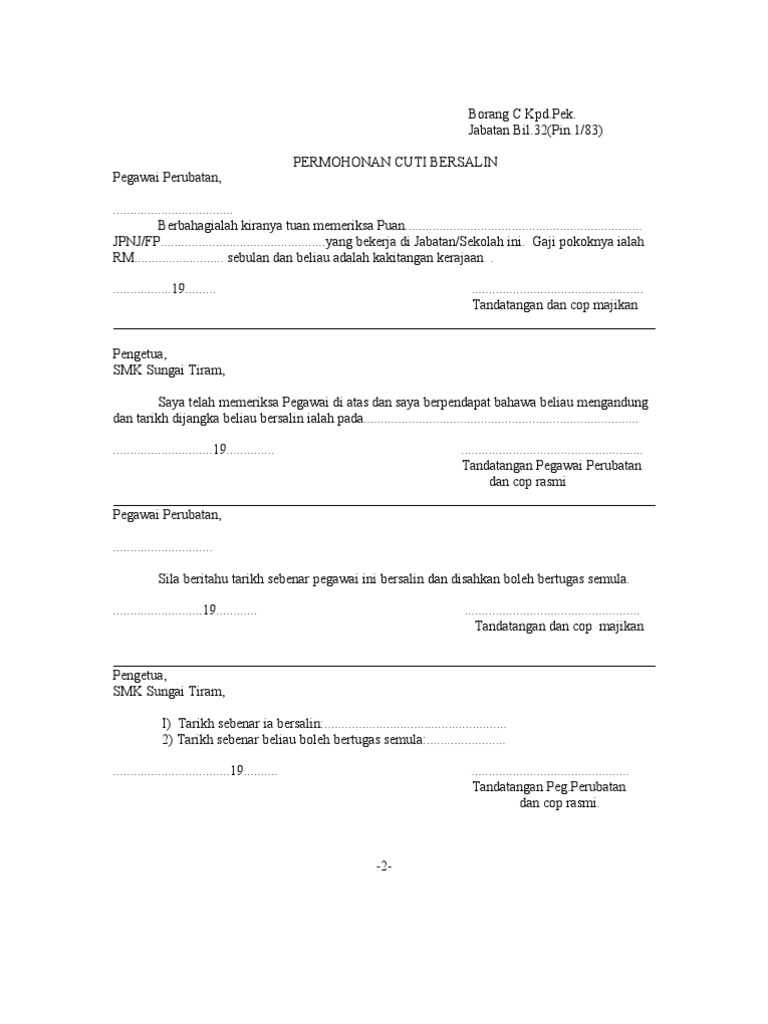
Lampiran A Borang Permohonan Cuti Bersalin Borang Permohonan Cuti Bersalin Pekeliling Perkhidmatan
Lampiran A Borang Permohonan Cuti Bersalin Borang Permohonan Cuti Bersalin Pekeliling Perkhidmatan from demo.pdfslide.tips
Berkaitan itu, saya memohon menggunakan kemudahan cuti tanpa rekod bagi urusan kematian ahli keluarga terdekat selama _ hari, pada / mulai. Borang cuti cuti rehat pekerja by mohd radzi ismail 10149 views. Download borang permohonan cuti bersalin.pdf. Sekiranya usia kandungan anda telah pun mencapai 22 minggu, anda sudah boleh mengisi borang permohonan ini. Fas lampiran a borang permohonan cuti bersalin (pekeliling perkhidmatan bilangan 14 tahun 2010) (ketua jabatan) 1. Surat permohonan cuti bisa diajukan jika syarat untuk mendapatkan cuti sudah terpenuhi tentunya. Permohonan cuti bersalin swasta 90 hari 2021 (borang)|anda ingin mohon cuti bersalin swasta 90 hari? Sila mohon bantuan prihatin nasional secara online.

Borang pekerja contoh bulanan (apcb).

Saya memohon menggunakan kemudahan cuti bersalin selama. Pekeliling cuti bersalin by nur shiha 23895 views. Human capital management telekom malaysia berhad borang permohonan cuti bersalin. Nama penuh bahagian ii : Membuat surat permohonan cuti, tentunya menjadi hal utama sebelum mendapatkan izin atau hak cuti dari atasannya. Borang permohonan cuti tanpa gaji urusan peribadi.doc. Cuti isteri bersalin (7 hari) cuti gantian (tidak termasuk cuti gantian kerana kerja lebih masa) perakuan pemohon. * buat bulatan pada yang dipilih ** tandakan / dalam petak yang berkenaan. Berkaitan itu, saya memohon menggunakan kemudahan cuti tanpa rekod bagi urusan kematian ahli keluarga terdekat selama _ hari, pada / mulai. Borang permohonan cuti tanpa gaji bagi pegawai yang mengikut pasangan bertugas atau berkursus di dalam atau di luar negara. Macam mana cara nak buat permohonan baru bpn 2.0 secara online? Permohonan cuti bersalin swasta 90 hari 2021 (borang)|anda ingin mohon cuti bersalin swasta 90 hari? Borang permohonan cuti dan sokongan memangku (untuk pegawai dan kakitangan dalam jabatan kerajaan).

Download borang permohonan cuti bersalin.pdf. Untuk surat cuti pns ini, beberapa ketarangan yang perlu disertakan, sebagai berikut Saya memohon menggunakan kemudahan cuti bersalin selama. Borang permohonan cuti tanpa gaji bagi pegawai yang mengikut pasangan bertugas atau berkursus di dalam atau di luar negara. Cuti isteri bersalin (7 hari) cuti gantian (tidak termasuk cuti gantian kerana kerja lebih masa) perakuan pemohon.

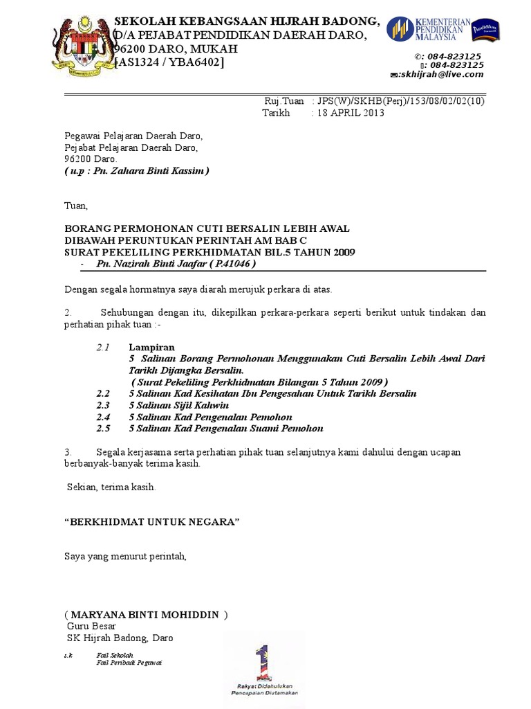
Kemudahan Cuti Bersalin Pegawai Perkhidmatan Awam Sgmy
Kemudahan Cuti Bersalin Pegawai Perkhidmatan Awam Sgmy from sistemgurumalaysia.com
Nama penuh bahagian ii : Pekeliling cuti bersalin via www.slideshare.net. Borang permohonan cuti bersalin (pekeliling perkhidmatan bilangan 5 tahun 2017) kepada: Turutan kemudahan cuti bersalin yang dipohon (tandakan pada yang berkenaan). Dulu saya terima bpn 1.0, tapi tak nak terima bpn 2.0 ini. Butiran permohonan kemudahan cuti bersalin 8. Borang cuti cuti rehat pekerja by mohd radzi ismail 10149 views. Saya memohon menggunakan kemudahan cuti bersalin selama _ hari mulai dari tarikh dijangka bersalin (edd).

Penghantaran borang permohonan boleh dibuat melalui kaedah berikut saya dah antar borang ibu bersalin ke pejabat dearah saratok bulan april,agak nya bila kah duit ibu bersalin keluar?

Leave a reply cancel reply. Permohonan cuti bersalin kerajaan 2021. Surat permohonan cuti rehat khas guru, surat permohonan cuti tanpa gaji borang cuti tanpa rekod masuk peperiksaan via www.slideshare.net. Saya mengesahkan bahawa segala maklumat yang diberikan di atas adalah. Cuti untuk mengambil peperiksaan (nyatakan): Butiran permohonan kemudahan cuti bersalin 8. Penghantaran borang permohonan boleh dibuat melalui kaedah berikut saya dah antar borang ibu bersalin ke pejabat dearah saratok bulan april,agak nya bila kah duit ibu bersalin keluar? Borang kemudahan cuti bersalin pegawai perkhidmatan awam. Borang perakuan bersalin dan permohonan cuti bagi pegawai wanita.pdf. Oleh karena itu, anda harus membuat dan tau surat permohonan cuti biasanya diajukan, jika semua syarat sudah terpenuhi. Anak saya lahir 5/5/2020 ,sekarang umur anak saya. Perakuan bersalin/surat dijangka bersalin hendaklah dilampirkan. Hari mulai dari tarikh dijangka bersalin (edd).

Related : Borang Permohonan Cuti Bersalin : Anak saya lahir 5/5/2020 ,sekarang umur anak saya..